9. (2025·南京期末)如图,已知不共线三点 $A$,$B$,$C$,点 $D$ 是平面内的动点,线段 $AB$,$BC$,$CD$,$DA$ 的中点分别为 $M$,$N$,$P$,$Q$。下列关于四边形 $MNPQ$ 的说法正确的是(
D
)
①存在无数个平行四边形 $MNPQ$;②存在无数个菱形 $MNPQ$;③存在无数个矩形 $MNPQ$;④存在两个正方形 $MNPQ$。
A.①
B.①②③
C.①③④
D.①②③④
答案:9.D 解析:平面内任意取一点D,与点A,B,C构成四边形ABCD,连接AC,BD,如图①,
∵M,N,P,Q分别是AB,BC,CD,DA的中点,
∴MN//AC,MN=1/2AC,PQ//AC,PQ=1/2AC,MQ//BD,MQ=1/2BD,PN//BD,PN=1/2BD,
∴MN//PQ,MN=PQ,MQ//PN,MQ=PN,
∴四边形MNPQ是平行四边形,
∴存在无数个四边形MNPQ是平行四边形,故①正确;

当AC=BD时,即以点B为圆心,AC的长为半径画圆,在圆弧上任取一点D(不与三点A,B,C中两点共线),如图②,同上得MQ=PN=1/2BD,MN=PQ=1/2AC,则有MQ=PQ=PN=MN,
∴四边形MNPQ是菱形,
∴存在无数个四边形MNPQ是菱形,故②正确;当BD⊥AC时,即过点B作AC的垂线,D为垂线上任一点(不与三点A,B,C中两点共线)时,如图③,同上得MN//AC//PQ,MQ//BD//PN,
∴PQ⊥MQ,即∠PQM=90°,
∴四边形MNPQ是矩形,
∴存在无数个四边形MNPQ是矩形,故③正确;


当且仅当PQ=QM,PQ⊥QM,即BD⊥AC,BD=AC时,四边形MNPQ才是正方形,即点D必须在以点B为圆心,AC的长为半径的圆上,且在过点B作AC的垂线上,这样的点D在AC左侧,右侧各一个,共有2个,如图④,故存在两个四边形MNPQ是正方形,故④正确.故选D.
10. (2025·无锡期末)在矩形 $ABCD$ 中,$AB = 8\ \mathrm{cm}$,$BC = 6\ \mathrm{cm}$,动点 $P$ 从点 $C$ 出发,以 $3\ \mathrm{cm/s}$ 的速度沿 $CD \to DA \to AC$ 匀速运动;同时动点 $Q$ 从点 $B$ 出发,以 $1\ \mathrm{cm/s}$ 的速度沿 $BA$ 向点 $A$ 匀速运动,当点 $P$ 运动至终点时,整个运动停止。设运动时间为 $t\ \mathrm{s}$。若动点 $P$,$Q$ 所在的直线平分矩形 $ABCD$ 的面积,则 $t$ 的值为
2或19/3或8
。
答案:10.2或19/3或8 解析:要使点P,Q所在的直线平分矩形ABCD的面积,则需P,Q所在的直线经过点O,①当P在CD上时,如图①,
∵四边形ABCD是矩形,
∴AB//CD,OB=OD,AB=CD=8cm,
∴∠OBQ=∠ODP.
∵∠DOP=∠BOQ,
∴△DOP≌△BOQ(ASA),
∴BQ=DP,由题意得BQ=tcm,CP=3tcm,
∴DP=CD−CP=(8−3t)cm,
∴t=8−3t,解得t=2;

②当P与O重合时,如图②,
∵四边形ABCD是矩形,
∴OA=OC=1/2AC,AD=BC=6cm,AB=CD=8cm,∠ADC=90°,由勾股定理得AC=√(AD²+CD²)=√(6²+8²)=10(cm),
∴OA=OC=5cm,
∴运动时间t=(8+6+5)÷3=19/3(s);③当P与C重合,Q与A重合时,如图③,
∵四边形ABCD是矩形,
∴AD=BC=6cm,AB=CD=8cm,

∠ADC=90°,由勾股定理得AC=√(AD²+CD²)=√(6²+8²)=10(cm),
∴运动时间t=(8+6+10)÷3=8(s).
综上可得,t的值为2或19/3或8.
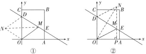
11. 如图,在平面直角坐标系中,函数 $y = -2x + 6$ 的图象分别交 $x$ 轴,$y$ 轴于 $A$,$B$ 两点,过点 $A$ 的直线交 $y$ 轴正半轴于点 $M$,且 $MB = 2MO$。在平面直角坐标系内存在点 $C$,使得以 $A$,$B$,$M$,$C$ 为顶点的四边形是平行四边形,则点 $C$ 的坐标为
(3,4)或(3,−4)或(−3,8)
。

]
答案:11.(3,4)或(3,−4)或(−3,8) 解析;
∵函数y=−2x+6的图象分别交x轴,y轴于A,B两点,当x=0时,y=−2×0+6=6,
∴B(0,6),OB=6.
∵MB=2MO,且点M位于y轴正半轴,
∴MO=1/3OB=1/3×6=2,
∴M(0,2).当y=0时,−2x+6=0,解得x=3,
∴A(3,0),以A,B,M,C为顶点的四边形是平行四边形,分三种情况.
如图所示.①以MB,MA为边,
∴MB//AC,MB=AC;
∵M(0,2),A(3,0),B(0,6),
∴线段MB向右平移3个单位长度,再向下平移2个单位长度得到线段AC,则点M(0,2)的对应点为点A(3,0),点B(0,6)的对应点为点C,
∴C(3,4);②以BM,BA为边,
∴BM//AC',BM=AC'.
∵B(0,6),A(3,0),M(0,2),
∴线段BM向右平移3个单位长度,再向下平移6个单位长度得到线段AC',则点B(0,6)的对应点为点A(3,0),点M(0,2)的对应点为点C',
∴C'(3,−4);③以AM,AB为边,
∴AM//BC'',AM=BC'';
∵A(3,0),M(0,2),B(0,6),
∴线段AM向左平移3个单位长度,再向上平移6个单位长度得到线段BC'',则点A(3,0)的对应点为点B(0,6),点M(0,2)的对应点为点C'',
∴C''(−3,8).综上所述,满足条件的点C的坐标为(3,4)或(3,−4)或(−3,8).
12. 如图,在菱形 $ABCD$ 中,对角线 $AC$,$BD$ 相交于点 $O$。$AC = 8\ \mathrm{cm}$,$BD = 6\ \mathrm{cm}$,点 $P$ 为 $AC$ 上一动点,点 $P$ 以 $1\ \mathrm{cm/s}$ 的速度从点 $A$ 出发沿 $AC$ 向点 $C$ 运动。设运动时间为 $t\ \mathrm{s}$,当 $t$ 的值为
5或8或25/8
时,$△ PAB$ 为等腰三角形。

答案:12.5或8或25/8 解析:
∵四边形ABCD是菱形,AC=8cm,BD=6cm,
∴AC⊥BD,AO=OC=4cm,BO=OD=3cm.由勾股定理得BC=AB=AD=CD=5cm.分为三种情况:如图①,当PA=AB=5cm时,t=5÷1=5(s);如图②,当点P和点C重合时,PB=AB=5cm,t=8÷1=8(s);如图③,作AB的垂直平分线交AC于点P,连接PB,此时PB=PA,在Rt△BOP中,由勾股定理得BP²=BO²+OP²,即AP²=3²+(4−AP)²,解得AP=25/8,此时t=25/8÷1=25/8(s).故答案为5或8或25/8.

13. 如图,矩形 $OABC$ 的顶点 $A$,$C$ 分别在 $x$ 轴,$y$ 轴的正半轴上,点 $B$ 的坐标为 $(3, 4)$,一次函数 $y = -\dfrac{2}{3}x + b$ 的图象与边 $OC$,$AB$ 分别交于点 $D$,$E$,并且满足 $OD = BE$,点 $M$ 是线段 $DE$ 上的一个动点。
(1) 求 $b$ 的值;
(2) 连接 $OM$,若 $△ ODM$ 的面积与四边形 $OAEM$ 的面积之比为 $1:3$,求点 $M$ 的坐标;
(3) 设点 $N$ 是 $x$ 轴上方平面内的一点,以 $O$,$M$,$D$,$N$ 为顶点的四边形是菱形时,试求出点 $N$ 的坐标。

]
答案:13.(1)
∵矩形OABC的顶点B的坐标为(3,4),
∴OC=AB=4,OA=BC=3.在y=−2/3x+b中,令x=0,得y=b,
∴点D的坐标为(0,b),
∴OD=b.
∵OD=BE,
∴BE=b,
∴点E的坐标是(3,4−b).
∵点E(3,4−b)在直线y=−2/3x+b上,
∴4−b=−2/3×3+b,解得b=3.
(2)由(1)得D,E两点的坐标分别为(0,3),(3,1),
∴OD=3,AE=1,
∴S四边形OAED=1/2(OD+AE)×OA=1/2×(3+1)×3=6.
∵△ODM的面积与四边形OAEM的面积之比为1:3,
∴S△ODM=1/4S四边形OAED=3/2.不妨设线段DE上的点M的坐标为(t,−2/3t+3),易知0<t<3,则点M到OD的距离为t,
∴1/2×3t=3/2,解得t=1,
∴点M的坐标为(1,7/3).
(3)设线段DE上的点M的坐标为(m,−2/3m+3).由(1)得D,E两点的坐标分别为(0,3),(3,1),
∴OD=3,AE=1.分两种情况讨论:①当OD作为菱形的对角线时,如图①,得菱形OMDN,
∴MN⊥OD,MN,OD互相平分,
∴−2/3m+3=1/2×3,解得m=9/4,
∴点M的坐标为(9/4,3/2),此时点N的坐标为(−9/4,3/2).
②当OD作为菱形的一边时,如图②,得菱形OMND,
∴MN//OD,MN=OM=OD=3.根据点M的坐标为(m,−2/3m+3),可得点N的坐标为(m,−2/3m+6).过点M作MP⊥x轴于点P,则在Rt△OPM中,OP=m,MP=−2/3m+3.由勾股定理,得OP²+PM²=OM²,即m²+(−2/3m+3)²=3²,化简得13/9m²−4m=0.由题意,得点M不在y轴上,即m≠0.在等式13/9m²−4m=0的两边同时除以m,得13/9m−4=0,解得m=36/13.此时点N的坐标为(36/13,54/13).综上所述,满足题意的点N的坐标为(−9/4,3/2)或(36/13,54/13).
