8. 若方程$\frac{x - 3}{x - 2}+1=\frac{3}{2 - x}$的解使关于$x$的不等式$(2 - a)x - 3>0$成立,则实数$a$的取值范围是
$a < - 1$
.
答案:8.$a < - 1$
解析:
解:方程两边同乘$x - 2$得:$x - 3 + (x - 2) = - 3$,
解得$x = 1$,
经检验,$x = 1$是原方程的解。
将$x = 1$代入不等式$(2 - a)x - 3>0$得:$(2 - a)×1 - 3>0$,
即$2 - a - 3>0$,
$-a>1$,
解得$a< - 1$。
$a< - 1$
9. (易错题)如果关于$x$的分式方程$\frac{2x - m}{x + 1}=1$的解是负数,那么$m$的取值范围是
$m < - 1$且$m \neq - 2$
.
答案:9.$m < - 1$且$m \neq - 2$ [易错分析]方程两边同乘$x + 1$,得$2x - m = x + 1$,解得$x = m + 1$.
∵原分式方程的解是负数,
∴$x < 0$且$x + 1 \neq 0$,即$m + 1 < 0$且$m + 1 + 1 \neq 0$,解得$m < - 1$且$m \neq - 2$.根据分式方程的解是负数得出$x$的取值范围时,容易忽视“原分式方程的分母不为$0$”这一隐含条件.
10. 解方程:
(1)$\frac{x}{x + 1}=\frac{x}{3x + 3}+1$;
(2)(2024·福建)$\frac{3}{x + 2}+1=\frac{x}{x - 2}$;

(3)$\frac{x - 1}{x + 1}-\frac{3}{x^{2}-1}=1$;
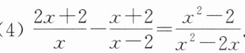
(4)$\frac{2x + 2}{x}-\frac{x + 2}{x - 2}=\frac{x^{2}-2}{x^{2}-2x}$.
答案:10.(1)$x = - 3$ (2)$x = 10$ (3)$x = - \frac{1}{2}$ (4)$x = - \frac{1}{2}$
解析:
解:方程两边同乘$x(x - 2)$,得$(2x + 2)(x - 2)-x(x + 2)=x^{2}-2$,
展开得$2x^{2}-4x + 2x - 4 - x^{2}-2x=x^{2}-2$,
合并同类项得$x^{2}-4x - 4=x^{2}-2$,
移项得$-4x=2$,
解得$x=-\frac{1}{2}$,
检验:当$x=-\frac{1}{2}$时,$x(x - 2)=-\frac{1}{2}×(-\frac{1}{2}-2)=\frac{5}{4}\neq0$,
所以$x=-\frac{1}{2}$是原方程的解。
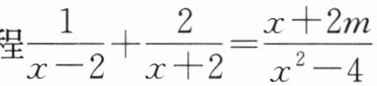
11. 若关于$x$的分式方程$\frac{1}{x - 2}+\frac{2}{x + 2}=\frac{x + 2m}{x^{2}-4}$的解大于$1$,试确定$m$的取值范围.

答案:11.原方程可化为$\frac{1}{x - 2} + \frac{2}{x + 2} = \frac{x + 2m}{(x + 2)(x - 2)}$,方程两边同乘$(x + 2)(x - 2)$,得$(x + 2) + 2(x - 2) = x + 2m$,解得$x = m + 1$.根据题意,得$x > 1$且$x \neq 2$且$x \neq - 2$,即$m + 1 > 1$且$m + 1 \neq 2$且$m + 1 \neq - 2$,解得$m > 0$且$m \neq 1$
12. (新考法·阅读理解)先阅读材料,再解答下面的问题:
方程$x+\frac{1}{x}=2+\frac{1}{2}$的解是$x_{1}=2$,$x_{2}=\frac{1}{2}$;方程$x+\frac{1}{x}=3+\frac{1}{3}$的解是$x_{1}=3$,$x_{2}=\frac{1}{3}$.
(1)观察上述方程的解,试猜想关于$x$的方程$x+\frac{1}{x}=c+\frac{1}{c}$的解是
$x_1 = c$,$x_2 = \frac{1}{c}$
.
(2)把关于$x$的方程$x+\frac{1}{x - 1}=a+\frac{1}{a - 1}$变形为方程$x+\frac{1}{x}=c+\frac{1}{c}$的形式为
$x - 1 + \frac{1}{x - 1} = a - 1 + \frac{1}{a - 1}$
,方程的解是
$x_1 = a$,$x_2 = \frac{a}{a - 1}$
.解决这个问题的数学思想是
换元
.
答案:12.(1)$x_1 = c$,$x_2 = \frac{1}{c}$ (2)$x - 1 + \frac{1}{x - 1} = a - 1 + \frac{1}{a - 1}$ $x_1 = a$,$x_2 = \frac{a}{a - 1}$ 换元