分式混合运算的顺序:先
乘除
,后
加减
,如果有
括号
,先进行
括号
内的运算.
答案:乘除 加减 括号 括号
计算:
(1) $ a ÷ \frac{a}{b} · \frac{b}{a} $; (2) $ \frac{3b^{2}}{16a} ÷ \frac{bc}{2a^{2}} · (-\frac{2a}{b}) $;
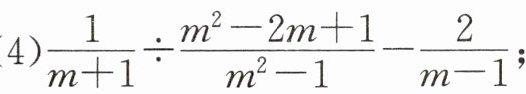
(3) $ (x - 2) ÷ (\frac{2}{x} - 1) · x $; (4) $ \frac{1}{m + 1} ÷ \frac{m^{2} - 2m + 1}{m^{2} - 1} - \frac{2}{m - 1} $;


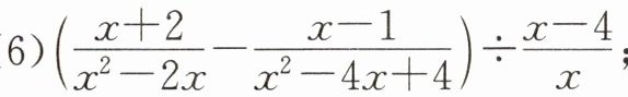
(5) $ \frac{x}{x^{2} - 1} ÷ (1 - \frac{1}{x + 1}) $; (6) $ (\frac{x + 2}{x^{2} - 2x} - \frac{x - 1}{x^{2} - 4x + 4}) ÷ \frac{x - 4}{x} $;

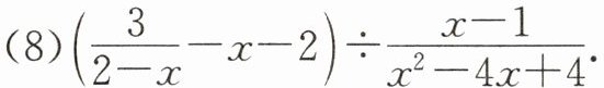
(7) $ \frac{m}{m^{2} - 4} ÷ (1 + \frac{2}{m - 2}) $; (8) $ (\frac{3}{2 - x} - x - 2) ÷ \frac{x - 1}{x^{2} - 4x + 4} $.
答案:(1) $\dfrac{b^{2}}{a}$ (2) $-\dfrac{3a^{2}}{4c}$ (3) $-x^{2}$ (4) $-\dfrac{1}{m - 1}$ (5) $\dfrac{1}{x - 1}$
(6) $\dfrac{1}{(x - 2)^{2}}$ (7) $\dfrac{1}{m + 2}$ (8) $-x^{2} + x + 2$