1. 分式$\frac{1}{3ab^{2}}$与$\frac{1}{6a^{2}bc}$的最简公分母是(
C
)
A.$3ab$
B.$3abc$
C.$6a^{2}b^{2}c$
D.$18a^{2}b^{2}c$
答案:1. C
2. 分式$\frac{2}{a - 2}$和$\frac{b}{4 - a^{2}}$的最简公分母是(
B
)
A.$a - 2$
B.$4 - a^{2}$
C.$(a - 2)(4 - a^{2})$
D.$2(a - 2)^{2}$
答案:2. B
解析:
$4 - a^2 = (2 - a)(2 + a) = -(a - 2)(a + 2)$,分式$\frac{2}{a - 2}$的分母为$a - 2$,分式$\frac{b}{4 - a^2}$的分母为$4 - a^2 = -(a - 2)(a + 2)$,所以最简公分母是$(a - 2)(a + 2) = 4 - a^2$。
B
3. 分式$\frac{3a}{a^{2} - b^{2}}$的分母经过变化后变成$2(a - b)^{2}(a + b)$,那么分子应变为(
C
)
A.$6a(a + b)^{2}(a - b)$
B.$2(a - b)$
C.$6a(a - b)$
D.$6a(a + b)$
答案:3. C
解析:
原分母为$a^2 - b^2=(a - b)(a + b)$,新分母为$2(a - b)^2(a + b)$,分母变化为原分母乘以$2(a - b)$。根据分式基本性质,分子也应乘以$2(a - b)$,即$3a×2(a - b)=6a(a - b)$。
C
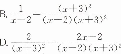
4. 三个分式$\frac{1}{x - 2}$,$\frac{1}{(x - 2)(x + 3)}$,$\frac{2}{(x + 3)^{2}}$的通分过程中,不正确的是(
D
)
A.最简公分母是$(x - 2)(x + 3)^{2}$

B.$\frac{1}{x - 2}=\frac{(x + 3)^{2}}{(x - 2)(x + 3)^{2}}$
C.$\frac{1}{(x - 2)(x + 3)}=\frac{x + 3}{(x - 2)(x + 3)^{2}}$
D.$\frac{2}{(x + 3)^{2}}=\frac{2x - 2}{(x - 2)(x + 3)^{2}}$
答案:4. D
解析:
解:A. 最简公分母是$(x - 2)(x + 3)^{2}$,正确。
B. $\frac{1}{x - 2}=\frac{(x + 3)^{2}}{(x - 2)(x + 3)^{2}}$,正确。
C. $\frac{1}{(x - 2)(x + 3)}=\frac{x + 3}{(x - 2)(x + 3)^{2}}$,正确。
D. $\frac{2}{(x + 3)^{2}}=\frac{2(x - 2)}{(x - 2)(x + 3)^{2}}=\frac{2x - 4}{(x - 2)(x + 3)^{2}}≠\frac{2x - 2}{(x - 2)(x + 3)^{2}}$,不正确。
结论:D
5. (1)(2024·建邺区期末)分式$\frac{1}{x^{2}y}$,$\frac{3}{xyz}$的最简公分母是
$ x^{2}yz $
;
(2)分式$\frac{3}{2x - 2}$,$\frac{1}{x^{2} + x}$和$\frac{x}{x^{2} - x}$的最简公分母是
$ 2x(x + 1)(x - 1) $
。
答案:5. (1) $ x^{2}yz $ (2) $ 2x(x + 1)(x - 1) $
6. 分式$\frac{4a}{5b^{2}c}$,$\frac{3c}{2a^{2}b}$,$\frac{7b}{10ac}$的最简公分母是
$ 10a^{2}b^{2}c $
,通分时,这三个分式的分子、分母都分别乘
$ 2a^{2} $
,
$ 5bc $
,
$ ab^{2} $
。
答案:6. $ 10a^{2}b^{2}c $ $ 2a^{2} $ $ 5bc $ $ ab^{2} $
7. 分式$\frac{1}{x - 1}$,$\frac{1}{x + 1}$,$\frac{1}{x^{2} - 1}$经过通分后的结果是
$ \frac{x + 1}{x^{2} - 1} $
,
$ \frac{x - 1}{x^{2} - 1} $
,
$ \frac{1}{x^{2} - 1} $
。
答案:7. $ \frac{x + 1}{x^{2} - 1} $ $ \frac{x - 1}{x^{2} - 1} $ $ \frac{1}{x^{2} - 1} $
8. 把下列各式通分:
(1)$\frac{2}{xy}$,$\frac{x}{2y}$;
(2)$\frac{5}{-4ab^{2}}$,$\frac{4}{5a^{2}b}$;
(3)$\frac{x}{a(x - y)}$,$\frac{y}{b(y - x)}$;
(4)$\frac{a}{(x - y)^{2}}$,$\frac{b}{(x - y)(x + y)}$。
答案:8. 解:(1) $ \frac{2}{xy} = \frac{4}{2xy} $,$ \frac{x}{2y} = \frac{x^{2}}{2xy} $。
(2) $ \frac{5}{-4ab^{2}} = -\frac{25a}{20a^{2}b^{2}} $,$ \frac{4}{5a^{2}b} = \frac{16b}{20a^{2}b^{2}} $。
(3) $ \frac{x}{a(x - y)} = \frac{bx}{ab(x - y)} $,$ \frac{y}{b(y - x)} = -\frac{ay}{ab(x - y)} $。
(4) $ \frac{a}{(x - y)^{2}} = \frac{a(x + y)}{(x - y)^{2}(x + y)} $,
$ \frac{b}{(x - y)(x + y)} = \frac{b(x - y)}{(x - y)^{2}(x + y)} $。