1. 一般地,函数可以用
列表法
、
图象法
、
解析法
三种方法表示。
答案:列表法 图象法 解析法
2. 由
自变量
和
常量
组成的表示函数的表达式叫作函数表达式。
答案:自变量 常量
3. 把自变量的取值作为
横
坐标,对应的函数值作为
纵
坐标,在平面直角坐标系中描出对应的点,这些点组成的图形叫作函数的图象。
答案:横 纵
1. 函数 $ y =  \frac{\sqrt{x + 1}}{x} $ 的自变量 $ x $ 的取值范围是(
D
)
A.$ x \geq -1 $
B.$ x > 0 $
C.$ x > -1 $ 且 $ x \neq 0 $
D.$ x \geq -1 $ 且 $ x \neq 0 $
答案:D
解析:
要使函数 $ y = \frac{\sqrt{x + 1}}{x} $ 有意义,需满足:
1. 二次根式被开方数非负:$ x + 1 \geq 0 $,解得 $ x \geq -1 $;
2. 分母不为零:$ x \neq 0 $。
综上,自变量 $ x $ 的取值范围是 $ x \geq -1 $ 且 $ x \neq 0 $。
D
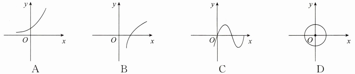
2. 在下列图象中,不能表示 $ y $ 是 $ x $ 的函数的是(
D
)

答案:D
解析:
根据函数定义:对于x的每一个确定的值,y都有唯一确定的值与其对应。
选项D中,存在一个x值对应多个y值,不满足函数定义。
D
3. 甲市到乙市的包裹邮资为每千克 $ 0.5 $ 元,每件另加手续费 $ 2 $ 元,则一件包裹的总邮资 $ y $(元)与包裹质量 $ x $(千克)之间的函数关系式是
y=0.5x+2
。
答案:y=0.5x+2
4. 在关系式 $ y =  3x + 5 $ 中,有下列说法:① $ x $ 是自变量,$ y $ 是因变量;② $ x $ 的数值可以任意选择;③ $ y $ 是变量,它的值与 $ x $ 无关;④用关系式表示的不能用图象表示;⑤ $ y $ 与 $ x $ 的关系还可以用列表法和图象法表示。其中说法正确的是
①②⑤
。(填序号)
答案:①②⑤
5. 甲、乙两人分别用不同的交通工具沿相同路线由 $ A $ 地到 $ B $ 地,行驶过程中路程与时间的函数图象如图所示,请根据图象回答下列问题:
(1)
甲
先出发,提前
3
小时;
(2)
乙
先到达 $ B $ 地,早到
3
小时;
(3) $ A $ 地与 $ B $ 地相距
80
千米;
(4) 甲、乙两人在途中的速度分别是多少?

(4)解:甲在途中的速度:80÷8=10(千米/时),乙在途中的速度:80÷(5-3)=40(千米/时).答:甲在途中的速度是10千米/时,乙在途中的速度是40千米/时.
答案:
(1)甲 3 
(2)乙 3 
(3)80 
(4)解:甲在途中的速度:80÷8=10(千米/时),乙在途中的速度:80÷(5-3)=40(千米/时).答:甲在途中的速度是10千米/时,乙在途中的速度是40千米/时.