13. (2025·大庆期中)阅读下列材料:对于多项式 $ x^{2}+x - 2 $,如果我们把 $ x = 1 $ 代入此多项式,发现 $ x^{2}+x - 2 $ 的值为 0,这时可以确定多项式中有因式 $ (x - 1) $;同理,可以确定多项式中有另一个因式 $ (x + 2) $,于是我们可以得到 $ x^{2}+x - 2 = (x - 1)(x + 2) $.
又如:对于多项式 $ 2x^{2}-3x - 2 $,发现当 $ x = 2 $ 时,$ 2x^{2}-3x - 2 $ 的值为 0,则多项式 $ 2x^{2}-3x - 2 $ 有一个因式 $ (x - 2) $,我们可设 $ 2x^{2}-3x - 2 = (x - 2)(mx + n) $,解得 $ m = 2 $,$ n = 1 $,于是我们可以得到 $ 2x^{2}-3x - 2 = (x - 2)(2x + 1) $.
请你根据以上材料,解答以下问题:
(1)当 $ x = $
1(或$-\frac{5}{6}$)
时,多项式 $ 6x^{2}-x - 5 $ 的值为 0,所以多项式 $ 6x^{2}-x - 5 $ 有因式
$ x - 1 $(或$ 6x + 5 $)
,从而因式分解 $ 6x^{2}-x - 5 = $
$(x - 1)(6x + 5)$
.
(2)以上这种因式分解的方法叫试根法,常用来分解一些比较复杂的多项式,请你尝试用试根法分解多项式:①$ 2x^{2}+5x + 3 $;②$ x^{3}-7x + 6 $.
(3)已知 $ x^{2}+2x + 1 $ 是多项式 $ x^{3}-x^{2}+ax + b $ 的一个因式,求 $ a $,$ b $ 的值,并将该多项式因式分解.
答案:13.(1)$1$(或$-\frac{5}{6}$) $x-1$(或$6x+5$) $(x-1)(6x+5)$
解析:当$x=1$时,$6x^{2}-x-5=0$,设$6x^{2}-x-5=(x-1)(mx+n)$,解得$m=6$,$n=5$,所以因式分解$6x^{2}-x-5=(x-1)(6x+5)$.
(2)①当$x=-1$时,$2x^{2}+5x+3=0$,所以$2x^{2}+5x+3=(x+1)(2x+3)$.
②当$x=1$时,$x^{3}-7x+6=0$,所以$x^{3}-7x+6=(x-1)(x-2)(x+3)$.
(3)设$x^{3}-x^{2}+ax+b=(x^{2}+2x+1)(x+m)$,则$x^{3}-x^{2}+ax+b=x^{3}+(m+2)x^{2}+(2m+1)x+m$,所以$m+2=-1$,$2m+1=a$,$m=b$,解得$a=-5$,$b=-3$,$m=-3$.所以$x^{3}-x^{2}-5x-3=(x^{2}+2x+1)(x-3)=(x+1)^{2}(x-3)$.
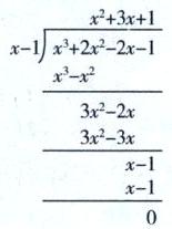
知识拓展 利用整式除法进行因式分解
确定多项式的因式后,也可用整式的除法进行因式分解,如下:
已知多项式$x^{3}+2x^{2}-2x-1$,把$x=1$代入发现$x^{3}+2x^{2}-2x-1=0$,则该多项式有因式$(x-1)$,接着可以通过列竖式做多项式除法的方式求出其他因式,如图所示,则可得$x^{3}+2x^{2}-2x-1=(x-1)(x^{2}+3x+1)$.
