15. (2024·内江中考)已知实数$a$,$b$满足$ab = 1$,那么$\frac{1}{a^{2} + 1}+\frac{1}{b^{2} + 1}$的值为
1
。
答案:15. 1 解析:$\frac{1}{a^{2}+1}+\frac{1}{b^{2}+1}=\frac{b^{2}+1+a^{2}+1}{(a^{2}+1)(b^{2}+1)}=\frac{a^{2}+b^{2}+2}{a^{2}b^{2}+a^{2}+b^{2}+1}=\frac{a^{2}+b^{2}+2}{(ab)^{2}+a^{2}+b^{2}+1}$.$\because ab = 1$,$\therefore$原式=$\frac{a^{2}+b^{2}+2}{1^{2}+a^{2}+b^{2}+1}=\frac{a^{2}+b^{2}+2}{a^{2}+b^{2}+2}=1$.
16. (日照中考改编)若关于$x$的方程$\frac{x}{x - 1}-2=\frac{3m}{2x - 2}$的解为正数,则$m$的取值范围是
$m<\frac{4}{3}$且$m≠\frac{2}{3}$
。
答案:16. $m<\frac{4}{3}$且$m≠\frac{2}{3}$ 解析:解分式方程得$x=\frac{4 - 3m}{2}$,$\because$方程$\frac{x}{x - 1}-2=\frac{3m}{2x - 2}$的解为正数,且分母不等于0,$\therefore\frac{4 - 3m}{2}>0$且$\frac{4 - 3m}{2}≠1$,$\therefore m<\frac{4}{3}$且$m≠\frac{2}{3}$.
解析:
解:方程两边同乘$2(x - 1)$,得$2x - 4(x - 1) = 3m$,
去括号,得$2x - 4x + 4 = 3m$,
合并同类项,得$-2x + 4 = 3m$,
移项,得$-2x = 3m - 4$,
系数化为$1$,得$x = \frac{4 - 3m}{2}$。
因为方程的解为正数,且分母不能为$0$,
所以$\frac{4 - 3m}{2} > 0$且$\frac{4 - 3m}{2} ≠ 1$,
由$\frac{4 - 3m}{2} > 0$,得$4 - 3m > 0$,$-3m > -4$,$m < \frac{4}{3}$;
由$\frac{4 - 3m}{2} ≠ 1$,得$4 - 3m ≠ 2$,$-3m ≠ -2$,$m ≠ \frac{2}{3}$。
综上,$m$的取值范围是$m < \frac{4}{3}$且$m ≠ \frac{2}{3}$。
17. 现有甲、乙、丙三种糖混合而成的什锦糖 50 千克,其中各种糖的质量和单价如下表。

商店以糖的平均价(平均价$=$混合糖的总价格$÷$混合糖的总质量)作为什锦糖的单价,要使什锦糖的单价每千克提高 1 元,则需再加入丙种糖
12.5
千克。
答案:17. 12.5 解析:设再加入丙种糖x千克,则什锦糖的总质量为$(50 + x)$千克,根据题意得$\frac{20×15 + 10×20 + 20×25}{50}+1=\frac{20×15 + 10×20+(20 + x)×25}{50 + x}$,解得x=12.5,经检验x=12.5是原分式方程的解,$\therefore$需再加入丙种糖12.5千克.
解析:
设再加入丙种糖$x$千克,则什锦糖的总质量为$(50 + x)$千克。
根据题意,原什锦糖总价格为$20×15 + 10×20 + 20×25$元,原平均价为$\frac{20×15 + 10×20 + 20×25}{50}$元/千克。
提高后单价为$\frac{20×15 + 10×20 + 20×25}{50}+1$元/千克,此时总价格为$20×15 + 10×20+(20 + x)×25$元,总质量为$(50 + x)$千克,可列方程:
$\frac{20×15 + 10×20 + 20×25}{50}+1=\frac{20×15 + 10×20+(20 + x)×25}{50 + x}$
解得$x = 12.5$,经检验$x = 12.5$是原分式方程的解。
12.5
18. 已知$a + b = m$,$a - b = n$,则$\frac{na + m^{2}}{b}-\frac{nb + m^{2}}{a}$的值为
$\frac{4mn}{m - n}$
(用含$m$,$n$的式子表示)。
答案:18. $\frac{4mn}{m - n}$ 解析:$\frac{na + m^{2}}{b}-\frac{nb + m^{2}}{a}=\frac{na^{2}+am^{2}}{ab}-\frac{nb^{2}+bm^{2}}{ab}=\frac{na^{2}+am^{2}-(nb^{2}+bm^{2})}{ab}=\frac{na^{2}+am^{2}-nb^{2}-bm^{2}}{ab}=\frac{n(a^{2}-b^{2})+m^{2}(a - b)}{ab}=\frac{n(a - b)(a + b)+m^{2}(a - b)}{ab}$.$\because a + b = m$,$a - b = n$,故$m + n = a + b + a - b = 2a$,$m - n = a + b-(a - b)=2b$,$\therefore a=\frac{m + n}{2}$,$b=\frac{m - n}{2}$,$ab=\frac{(m + n)(m - n)}{4}$,将$a + b = m$,$a - b = n$,$ab=\frac{(m + n)(m - n)}{4}$代入原式,原式=$\frac{mn^{2}+nm^{2}}{\frac{(m + n)(m - n)}{4}}=\frac{mn(n + m)}{\frac{(m + n)(m - n)}{4}}=\frac{4mn(n + m)}{(m + n)(m - n)}=\frac{4mn}{m - n}$.
三、解答题(共 46 分)
19. (6 分)计算:
(1)(2025·甘肃中考)$\frac{1}{x - 1}+\frac{x - 1}{x + 2}÷\frac{(x - 1)^{2}}{x^{2} - 4}$;
(2)(泸州中考)$(\frac{4m + 5}{m + 1}+m - 1)÷\frac{m + 2}{m + 1}$。
答案:19. (1)原式=$\frac{1}{x - 1}+\frac{x - 1}{x + 2}÷\frac{(x - 1)^{2}}{(x + 2)(x - 2)}=\frac{1}{x - 1}+\frac{x - 1}{x + 2}·\frac{(x + 2)(x - 2)}{(x - 1)^{2}}=\frac{1}{x - 1}+\frac{x - 2}{x - 1}=1$.
(2)原式=$(\frac{4m + 5}{m + 1}+\frac{m^{2}-1}{m + 1})·\frac{m + 1}{m + 2}=\frac{(m + 2)^{2}}{m + 1}·\frac{m + 1}{m + 2}=m + 2$.
20. (6 分)解方程:
(1)(2024·广州中考)$\frac{1}{2x - 5}=\frac{3}{x}$;
(2)$\frac{x}{x - 1}-\frac{3}{(x - 1)(x + 2)} = 1$。
答案:20. (1)方程两边同乘$x(2x - 5)$,得$x = 3(2x - 5)$,解得x=3,检验:当x=3时,$x(2x - 5)≠0$,$\therefore$该分式方程的解为x=3.
(2)方程两边同乘$(x - 1)(x + 2)$,得$x^{2}+2x - 3=(x - 1)·(x + 2)$,解得x=1,检验:当x=1时,$(x - 1)(x + 2)=0$,$\therefore$x=1是原方程的增根,即原方程无解.
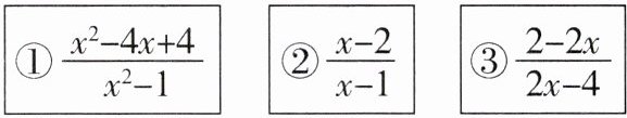
21. (6 分)(2025·沧州校级月考)嘉嘉和淇淇一起做游戏,她们面前有三张大小相同的卡片,分别写有三个分式,如图。要求排列卡片顺序组成“$(② - ①)×③$”或“$②÷① + ③$”的形式,然后先进行化简,再将“$x = -4$”代入化简的结果求值。

(1)淇淇发现三个分式中有一个还可以进行化简,这个分式是
③
(填序号),化简的结果为
$\frac{1 - x}{x - 2}$
;
(2)请你帮她们在题目要求的两个形式中任选一个,完成化简求值。
答案:21. (1)③$\frac{1 - x}{x - 2}$ 解析:$\frac{x^{2}-4x + 4}{x^{2}-1}=\frac{(x - 2)^{2}}{(x + 1)(x - 1)}$,无法进行化简;$\frac{x - 2}{x - 1}$无法进行化简;$\frac{2 - 2x}{2x - 4}=\frac{2(1 - x)}{2(x - 2)}=\frac{1 - x}{x - 2}$,可以进行化简,化简结果为$\frac{1 - x}{x - 2}$.
(2)$(② - ①)×③=(\frac{x - 2}{x - 1}-\frac{x^{2}-4x + 4}{x^{2}-1})×\frac{1 - x}{x - 2}=[\frac{(x - 2)(x + 1)}{(x + 1)(x - 1)}-\frac{x^{2}-4x + 4}{(x + 1)(x - 1)}]×\frac{1 - x}{x - 2}=\frac{3(x - 2)}{(x + 1)(x - 1)}×\frac{1 - x}{x - 2}=-\frac{3}{x + 1}$.当x=-4时,原式=$-\frac{3}{-4 + 1}=1$.
$②÷①+③=\frac{x - 2}{x - 1}÷\frac{x^{2}-4x + 4}{x^{2}-1}+\frac{1 - x}{x - 2}=\frac{x - 2}{x - 1}×\frac{(x + 1)(x - 1)}{(x - 2)^{2}}+\frac{1 - x}{x - 2}=\frac{x + 1}{x - 2}+\frac{1 - x}{x - 2}=\frac{2}{x - 2}$.当x=-4时,原式=$\frac{2}{-4 - 2}=-\frac{1}{3}$.
(任选其一即可)
22. (8 分)观察以下等式:
第 1 个等式:$\frac{2}{3^{2} -
4}×(2 - \frac{1 - 4}{1})=\frac{2}{1}$;
第 2 个等式:$\frac{4}{4^{2} - 4}×(2 - \frac{2 - 4}{2})=\frac{2}{2}$;
第 3 个等式:$\frac{6}{5^{2} - 4}×(2 - \frac{3 - 4}{3})=\frac{2}{3}$;
第 4 个等式:$\frac{8}{6^{2} - 4}×(2 - \frac{4 - 4}{4})=\frac{2}{4}$;
第 5 个等式:$\frac{10}{7^{2} - 4}×(2 - \frac{5 - 4}{5})=\frac{2}{5}$;
……
按照以上规律,解决下列问题:
(1)写出第 6 个等式:
$\frac{12}{8^{2}-4}×(2-\frac{6 - 4}{6})=\frac{2}{6}$
;
(2)写出你猜想的第$n$个等式:
$\frac{2n}{(n + 2)^{2}-4}×(2-\frac{n - 4}{n})=\frac{2}{n}$
(用含$n$的等式表示),并证明。
答案:22. (1)$\frac{12}{8^{2}-4}×(2-\frac{6 - 4}{6})=\frac{2}{6}$
(2)$\frac{2n}{(n + 2)^{2}-4}×(2-\frac{n - 4}{n})=\frac{2}{n}$ 证明如下:左边=$\frac{2n}{n^{2}+4n}×\frac{n + 4}{n}=\frac{2}{n + 4}×\frac{n + 4}{n}=\frac{2}{n}=$右边,$\therefore$等式成立.