1. 化简 $(a - 1) ÷ \frac{1 - a}{a} · a$ 的结果是(
A
)
A.$-a^2$
B.$1$
C.$a^2$
D.$-1$
答案:1. A 解析:原式$=(a - 1)· \frac{a}{1 - a}· a = - a^{2}$. 故选A.
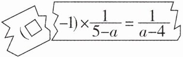
2. (2025·赤峰期末)如图所示,小敏同学不小心将分式运算的作业撕坏了一角,若已知该运算正确,则撕坏的部分中“$□$”代表的是(
C
)

A.$\frac{1}{4 - a}$
B.$\frac{9 - 2a}{a - 4}$
C.$\frac{1}{a - 4}$
D.$\frac{2a - 9}{a - 4}$
答案:2. C 解析:“□”代表的是$\frac{1}{a - 4}÷ \frac{1}{5 - a}+1=\frac{5 - a}{a - 4}+1=\frac{5 - a + a - 4}{a - 4}=\frac{1}{a - 4}$,故选C.
3. 计算:
(1) (扬州中考改编) $(a + b) ÷ (\frac{1}{a} + \frac{1}{b}) =$
$ab$
.
(2) (陕西中考) $(\frac{a + 1}{a - 1} + 1) ÷ \frac{2a}{a^2 - 1} =$
$a + 1$
.
(3) (包头中考) $(\frac{2m}{m^2 - 4} + \frac{1}{2 - m}) ÷ \frac{1}{m + 2} =$
$1$
.
答案:3. (1)$ab$ 解析:原式$=(a + b)÷ \frac{a + b}{ab}=(a + b)· \frac{ab}{a + b}=ab$.
(2)$a + 1$ 解析:原式$=\frac{a + 1 + a - 1}{a - 1}· \frac{(a + 1)(a - 1)}{2a}=a + 1$.
(3)1 解析:原式$=[\frac{2m}{(m + 2)(m - 2)}+\frac{-m - 2}{(m + 2)(m - 2)}]· (m + 2)=\frac{m - 2}{(m + 2)(m - 2)}· (m + 2)=1$.
4. 已知 $m = \frac{y}{x} - \frac{x}{y}$, $n = \frac{y}{x} + \frac{x}{y}$, 那么 $m^2 - n^2 =$
$-4$
.
答案:4. -4 解析:$m + n=\frac{2y}{x}$,$m - n=-\frac{2x}{y}$,则$m^{2}-n^{2}=(m + n)(m - n)=-\frac{2y}{x}· \frac{2x}{y}=-4$.
解析:
$m + n = (\frac{y}{x} - \frac{x}{y}) + (\frac{y}{x} + \frac{x}{y}) = \frac{2y}{x}$,$m - n = (\frac{y}{x} - \frac{x}{y}) - (\frac{y}{x} + \frac{x}{y}) = -\frac{2x}{y}$,$m^2 - n^2 = (m + n)(m - n) = \frac{2y}{x} · (-\frac{2x}{y}) = -4$
5. 教材变式 计算:
(1) (2025·辽宁中考) $\frac{1}{m + 1} ÷ \frac{m^3}{m^2 + 2m + 1} - \frac{1}{m^3}$;
(2) (2025·泸州中考) $\frac{x^2 - 1}{x} ÷ (\frac{x^2 + 3x + 1}{x} - 1)$;
(3) (2024·泸州中考) $(\frac{y^2}{x} + x - 2y) ÷ \frac{x^2 - y^2}{x}$;
(4) (常德中考) $(a - 1 + \frac{a + 3}{a + 2}) ÷ \frac{a^2 - 1}{a + 2}$.
答案:5. (1)原式$=\frac{1}{m + 1}· \frac{(m + 1)^{2}}{m^{3}}-\frac{1}{m^{3}}=\frac{m + 1}{m^{3}}-\frac{1}{m^{3}}=\frac{m}{m^{3}}=\frac{1}{m^{2}}$.
(2)原式$=\frac{x^{2}-1}{x}÷ \frac{x^{2}+3x + 1 - x}{x}=\frac{(x + 1)(x - 1)}{x}÷ \frac{x^{2}+2x + 1}{x}=\frac{(x + 1)(x - 1)}{x}÷ \frac{(x + 1)^{2}}{x}=\frac{(x + 1)(x - 1)}{x}· \frac{x}{(x + 1)^{2}}=\frac{x - 1}{x + 1}$.
(3)原式$=\frac{y^{2}+x^{2}-2xy}{x}· \frac{x}{x^{2}-y^{2}}=\frac{(x - y)^{2}}{x}· \frac{x}{(x + y)(x - y)}=\frac{x - y}{x + y}$.
(4)原式$=[\frac{(a - 1)(a + 2)}{a + 2}+\frac{a + 3}{a + 2}]· \frac{a + 2}{(a + 1)(a - 1)}=\frac{a^{2}-a + 2a - 2 + a + 3}{a + 2}· \frac{a + 2}{(a + 1)(a - 1)}=\frac{a^{2}+2a + 1}{(a + 1)(a - 1)}=\frac{(a + 1)^{2}}{(a + 1)(a - 1)}=\frac{a + 1}{a - 1}$.
6. (1) (2025·资阳中考)先化简,再求值: $(\frac{a^2 + 1}{a} + 2) ÷ \frac{a^2 - 1}{a}$,其中 $a = 2$.
答案:6. (1)原式$=\frac{a^{2}+2a + 1}{a}÷ \frac{a^{2}-1}{a}=\frac{(a + 1)^{2}}{a}· \frac{a}{(a + 1)(a - 1)}=\frac{a + 1}{a - 1}$,当$a = 2$时,原式$=\frac{2 + 1}{2 - 1}=3$.
(2) (2024·广元中考)先化简,再求值: $\frac{a}{a - b} ÷ \frac{a^2 - b^2}{a^2 - 2ab + b^2} - \frac{a - b}{a + b}$,其中 $a$, $b$ 满足 $b - 2a = 0$.
答案:(2)原式$=\frac{a}{a - b}÷ \frac{(a + b)(a - b)}{(a - b)^{2}}-\frac{a - b}{a + b}=\frac{a}{a - b}· \frac{(a - b)^{2}}{(a + b)(a - b)}-\frac{a - b}{a + b}=\frac{a}{a + b}-\frac{a - b}{a + b}=\frac{b}{a + b}$,$\because b - 2a = 0$,$\therefore b = 2a$,$\therefore$原式$=\frac{2a}{a + 2a}=\frac{2}{3}$.