1. 基本事实:
两角及其夹边
分别相等的两个三角形全等,简写成“角边角”或“
ASA
”.
答案:两角及其夹边 ASA
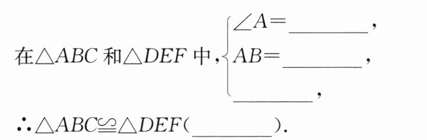
2. 符号语言:


∠D
DE
∠B=∠E
ASA
答案:∠D DE ∠B=∠E ASA
解析:
∠A=∠D,AB=DE,∠B=∠E,ASA
1. 如图,$O是AB$的中点,$\angle A= \angle B$. 求证:$\triangle AOC\cong \triangle BOD$.

答案:证明:
∵O是AB的中点,
∴AO=BO.在△AOC和△BOD中,∠A=∠B,AO=BO,∠AOC=∠BOD,
∴△AOC≌△BOD(ASA).
2. 如图,在$\triangle ABC与\triangle DEF$中,边$BC$,$EF$在同一条直线上,$AB// DE$,$AC// DF$,且$BF =  CE$. 求证:$AC =  DF$.

答案:证明:
∵AB//DE,
∴∠B=∠E.
∵AC//DF,
∴∠ACB=∠DFE.
∵BF=CE,
∴BF+CF=CE+CF,即BC=EF.
∴△ABC≌△DEF(ASA),
∴AC=DF.